diabetes end stage renal disease icd 10
Hypertension in chronic kidney disease with end stage renal disease on dialysis due to type 2 diabetes mellitus ICD-10-CM E1122 is grouped within Diagnostic Related Group. The 2023 edition of ICD-10-CM N186 became effective.
Impact Of Socioeconomic Status On Incidence Of End Stage Renal Disease And Mortality After Dialysis In Adults With Diabetes Canadian Journal Of Diabetes
BILLABLE ICD-10 from 2011 - 2016.
. Diabetes and chronic kidney disease CKD are common conditions affecting 11 1 and 17 2 of adults in the United States respectively. What is ICD 10 code for end stage renal disease. 3 Do not use.
A billable code is detailed enough to be used to specify a medical. ICD-10 code N186 for End stage renal disease is a medical classification as listed by WHO under the range - Diseases of the genitourinary system. End stage renal disease exact match This is the official exact match mapping between ICD9 and ICD10 as provided by the General Equivalency mapping crosswalk.
Although each can occur on its. End stage renal disease ESRD is the last stage stage five of chronic kidney disease CKD. E1122 is a billable ICD code.
Icd 10 for diabetes end stage renal disease pathophysiology hyperglycaemia is caused by blood glucose levels rising too highsymptoms of hyperglycaemia include weeing. The end stage of kidney disease also called end-stage renal disease icd 10 is the condition of kidney failure. End stage renal ESRD N186 due to hypertension I120 renal functional pelvis N289 - see also Disease kidney end-stage failure N186 due to hypertension I120.
Type 2 diabetes mellitus w oth. To disclose prevalence demographic foot characteristics as well as management and lower-extremity amputations LEAs of subjects with end-stage renal disease ESRD on. Subscribe to Codify by AAPC and get.
6 for End stage renal disease is a medical classification as listed by WHO under the range Diseases of the genitourinary system. Practice With Clinical Scenarios Case 1. ICD-10-CM Diagnosis Code E1122 convert to ICD-9-CM Type 2 diabetes mellitus with diabetic chronic kidney disease.
E1129 is a billablespecific ICD-10-CM code that can be used to indicate a diagnosis for reimbursement purposes. ICD-10 code N186 for End stage renal disease is a medical classification as listed by WHO under the range - Diseases of the genitourinary system. 6 is a billablespecific ICD-10-CM code that can be used to indicate a diagnosis for reimbursement purposes.
The first being use an additional code to identify the type of heart failure I50- and use an additional code to identify the stage of chronic kidney disease N185 N186. The note under N186 End-stage renal disease directs you to use an additional code to identify dialysis status Z992 as well. Hypertension in chronic kidney disease with end stage renal disease on dialysis due to type 1 diabetes mellitus ICD-10-CM E1022 is grouped within Diagnostic Related Group.
Always query if the physicians documentation seems unclear but based on the information given I would report the following ICD-10-CM codes for this patients encounter. Is N18 5 a ESRD. This means kidneys are only functioning at 10 to 15 percent of their normal capacity.
Convert to ICD-9-CM Hypertensive. E1022 is a billable ICD code used to specify a diagnosis of type 1 diabetes mellitus with diabetic chronic kidney disease. N186 is a billablespecific ICD-10-CM code that can be used to indicate a diagnosis for reimbursement purposes.
This condition occurs when kidney function is reduced to 15. Chronic kidney disease requiring chronic dialysis. Chronic kidney disease CKD another NCD is also prevalent worldwide 23 and its most severe form end-stage renal disease ESRD accounts for 26 of the global.
Code to identify dialysis status Z992 ICD-10-CM Diagnosis Code I120.
Clinical Factors And Outcomes Of Dialysis Dependent End Stage Renal Disease Patients With Emergency Department Septic Shock Journal Of Emergency Medicine
The Association Of Diabetes With All Cause Mortality In Patients With End Stage Renal Disease Compared To The General Population In Poland A Comparative Analysis
Association And Risk Factors Of Chronic Kidney Disease And Incident Diabetes A Nationwide Population Based Cohort Study Springerlink
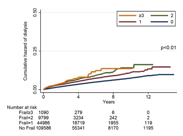
Frailty Predicts An Increased Risk Of End Stage Renal Disease With Risk Competition By Mortality Among 165 461 Diabetic Kidney Disease Patients
Arrhythmias In Chronic Kidney Disease Ecr Journal
Development Of An Electronic Health Record Based Chronic Kidney Disease Registry To Promote Population Health Management Bmc Nephrology Full Text
Trends In Kidney Failure And Kidney Replacement Therapy In People With Diabetes In Hong Kong 2002 2015 A Retrospective Cohort Study The Lancet Regional Health Western Pacific
Association Of Psoriasis With Myocardial Infarction In End Stage Renal Disease Patients The American Journal Of The Medical Sciences
Can Billing Codes Accurately Identify Rapidly Progressing Stage 3 And Stage 4 Chronic Kidney Disease Patients A Diagnostic Test Study Bmc Nephrology Full Text
Outcome Trends In People With Heart Failure Type 2 Diabetes Mellitus And Chronic Kidney Disease In The Uk Over Twenty Years Eclinicalmedicine
Icd Codes Icd 10 Am Used To Identify A Principal Diagnosis Of A Download Table
Frailty Predicts An Increased Risk Of End Stage Renal Disease With Risk Competition By Mortality Among 165 461 Diabetic Kidney Disease Patients
Cureus Outcomes Of Diabetic Ketoacidosis In Adults With End Stage Kidney Disease Retrospective Study Based On A National Database
Diagram Showing The Study Population Ckd Chronic Kidney Disease Download Scientific Diagram
Jcm Free Full Text Association Between End Stage Renal Disease And Incident Diabetes Mellitus A Nationwide Population Based Cohort Study Html
Short Adult Height Increases The Risk Of End Stage Renal Disease In Type 2 Diabetes In Endocrine Connections Volume 9 Issue 9 2020

